Join Free | Sign In | My eBioChem | Help | Sitemap | Favorite | |

Advanced Search
Cart 0 item(s)
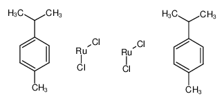
You are here: Home >Other Chemicals> Catalysts Agents > Di-mu-chlorobis(p-cymene)chlororuthenium(II)
wholesale Di-mu-chlorobis(p-cymene)chlororuthenium(II)
Shipping (Global Delivery)
 
Service Estimated delivery time
EMS 5-12 business days
FedEx 3-10 business days
DHL 3-10 business days
UPS 3-10 business days
TNT 3-10 business days
Specification

Di-mu-chlorobis(p-cymene)chlororuthenium(II) Detail
Payment
eBioChem Escrow service is especially designed for online transaction. You, as a buyer, will pay the Supplier ONLY after you receive the item(s) and are satisfied with the item(s). This value-added service is absolutely FREE and is available for all transactions at eBioChem.com.
 
Payment Method
Alipay:   
Alipay can support the domestic Union pay card with RMB payment
payPal: Credit Card:     
Paypal can support all of the foreign credit card payment
T/T:
Accepted
Wester Union:
Accepted
ricst Other Items

4,4',4'-Tris[2-naphthyl(phenyl)amino]triphenylamine

4-Bis(4-methylphenyl)aminobenzaldehyde-1,1-diphenyl-hydrazone

8-hydroxyquinoline, aluminum salt
Minimal FOB Price:
USD9.01/g

Aluminum,([1,1'-biphenyl]-4-olato)bis(2-methyl-8-quinolinolato-kN1,kO8)-

3,3'-(1,4-Phenylenedi-2,1-ethenediyl)bis(9-ethyl-9H-carbazole)
You may interested in these items
View More Related Items
Cooperation Partners
Home |About us | Contact | Alpha Index | Top Searches | CAS | Conditions of Use | Privacy Policy
www.ebiochem.com All Rights Reserved